作者:Sen Lin; Bo Lin; Zongtao Zhang; Jianhui Chen; Yanshu Luo; and Yuanzhi Xia.
论文题目:Construction of N Acyliminophosphoranes via Iron(II)-Catalyzed Imidization of Phosphines with N Acyloxyamides.
DOI:10.1021/acs.orglett.2c01238

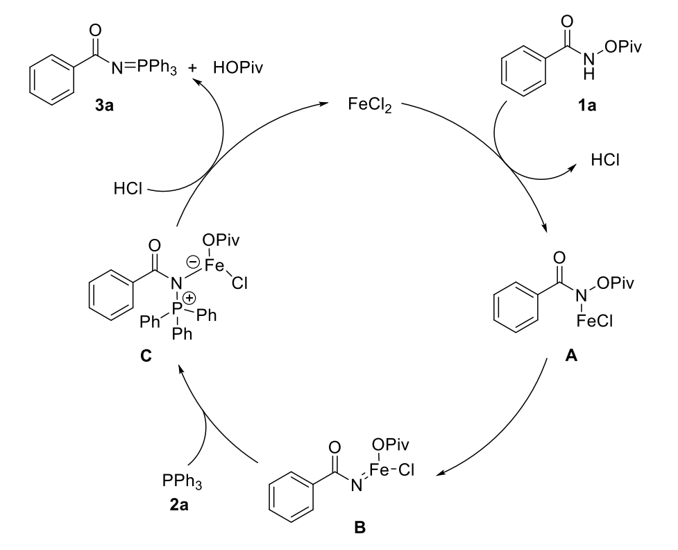
膦酰亚胺类化合物在有机合成和生物医药等方面有着重要应用。最近,硕士生林森等人在夏远志教授与陈建辉副研究员的指导下发展了一种廉价金属铁催化的高效合成膦酰亚胺类化合物的方法。反应以氯化亚铁为催化剂,底物N-新戊酰氧基苯甲酰胺类化合物与催化剂结合生成氮宾中间体,亲核试剂三芳基膦对氮宾中间体进行亲核加成,最终以优异产率得到目标产物。相关结果发表在Organic Letters。
首先,作者以N-新戊酰氧基苯甲酰胺与三苯基膦为模板底物对反应条件进行了筛选。结果显示,以氯化亚铁为催化剂,乙腈为溶剂,室温空气条件下反应6小时,产率达88%。随后,作者在最优条件下对反应的官能团容忍性进行了考察。无论在苯环邻位、间位还是对位引入供电子基团或者吸电子基团,反应仍保持优异的产率;噻吩、呋喃、及烷基取代的N-新戊酰氧基苯甲酰胺也可兼容。商业化的膦配体dppe也可作为底物顺利得到目标产物,说明该催化体系可用于对商业化配体的改造。研究显示,该反应在催化剂负载量为 1 mol % 的情况下可顺利放大至克级规模,展现了潜在的应用前景。

为了探索此种膦酰亚胺类化合物在合成中的应用,作者对产物进行了进一步的衍生化。以产物的亚膦酰基为导向基团,在Rh(III)的催化下,发展了一种新的通过位阻调控实现单、双碳氢键酰胺化反应,并且对底物的官能团容忍性进行了探究,反应产率较高。同时,以Ru(II)为催化剂,醋酸铜为碱,成功将亚膦酰基转化为氰基。

为了探索此种膦酰亚胺类化合物在合成中的应用,作者对产物进行了进一步的衍生化。以产物的亚膦酰基为导向基团,在Rh(III)的催化下,发展了一种新的通过位阻调控实现单、双碳氢键酰胺化反应,并且对底物的官能团容忍性进行了探究,反应产率较高。同时,以Ru(II)为催化剂,醋酸铜为碱,成功将亚膦酰基转化为氰基。
